Agri-PV in Switzerland
Agri-PV combines agriculture and solar power production on the same land. There is great potential for expansion in Switzerland, offering opportunities to reduce the winter electricity gap. Systems are planned for areas where they have been proven to support agricultural production.
Relevance of agri-PV in Switzerland
Agri-PV focuses on dual use: agriculture and solar power should have a positive influence on each other instead of competing for space. This requires a system design that provides additional benefits for the farm and does not pit food and energy supply against each other. Agri-PV has great potential, but its impact depends heavily on the crop, location, and system design. Approval and scaling require reliable evidence on yields/quality, soil and water management, operational processes (mechanization), as well as the electricity profile and grid integration. Pilot plants provide precisely this data – and make the “additional benefits” measurable, which is central to the approval process in Switzerland.
Great potential
The theoretical total potential of agri-PV in Switzerland is very high: suitable agricultural land offers a potential area of 583,499 ha (around 56% of agricultural land excluding summer grazing areas), with a maximum installable capacity of 271 GWp and a potential electricity yield of 323 TWh per year. A mix of vertical and elevated systems can also achieve a maximum winter yield of 95 TWh, which corresponds to 29% of annual production. Figure 1 shows the calculated potential, broken down by the different types of usable land. The potentials are calculated based on suitable system types per usable area: For open arable land and permanent crops, elevated agri-PV systems with a 30° southwest orientation were used in the calculations. For permanent grassland areas, vertical agri-PV systems with an east-west orientation were used. For open arable land, the greatest potential lies in artificial grassland, winter wheat, silage, green and grain maize, as well as winter barley and winter rapeseed. Among permanent grassland, permanent meadows and pastures have the highest potential, and among permanent crops, it is vines and orchards (apples, stone fruit, and pears).
If we consider a more realistic expansion potential for agri-PV of 7–8 TWh/year by 2050 (which corresponds to around 10% of the expected electricity demand in 2050), this would only take up 1–2% of agricultural land, depending on the choice of crops, and the land would remain usable for agriculture.
We calculated the expected electricity production costs in our potential study on agri-PV in Switzerland in 2024 (see Figure 2). For the three combinations of system type and usable area examined, they amount to approximately 6.0 cents/kWh (permanent grassland), 7.8 cents/kWh (arable land), and 8.4 cents/kWh (permanent crops). By way of comparison, the electricity production costs of small rooftop systems are significantly higher at around 13.4 cents/kWh, while those of a large rooftop system at around 5.8 cents/kWh are roughly the same as those of an agri-PV system on permanent grassland.
Practical requirements that benefit agriculture
According to the Spatial Planning Act (SPA, as of January 2026), the construction of a freestanding solar power plant outside the building zone on agricultural land can be granted as a location-specific exemption, provided that the plant does not impair agricultural interests, brings advantages for agricultural production, or serves research and experimental purposes (SPA, Art. 24ter para. 2). This serves as a basis, but is still associated with high hurdles: the respective “benefit” must be convincingly demonstrated in the specific project.
Agri-PV systems are particularly feasible on flat, consolidated plots, preferably without drainage and with a short distance to the feed-in point. Depending on the system, the anchoring typically requires a depth of approx. 1.5 to 3.5 m, whereby concrete foundations are generally avoided. If there is a high-voltage line above the system, a distance of 12 m from the pylons should be planned.
Learning from pilot projects: What works in the canton of Zurich – and where there are problems
We base our assessment of feasibility on specific site work: in Zurich, we examined eight pilot project sites (seven of which are used for agriculture) on three farms in terms of spatial planning, agronomy, and economic efficiency for various types of PV systems. The key finding of our study shows that, in practice, economic operation is possible and, in some cases, even attractive. However, there are considerable differences depending on the location and system.
The pilot project sites examined show that the investment costs of a turnkey agri-PV system, including grid connection costs, vary greatly between ~1,100 and 4,000 CHF/kWp, depending on the complexity of the system and crop protection requirements. In addition, economies of scale play a significant role in investment costs, which is why we consider larger areas of around 1 ha or more to be particularly worthwhile from an economic perspective.
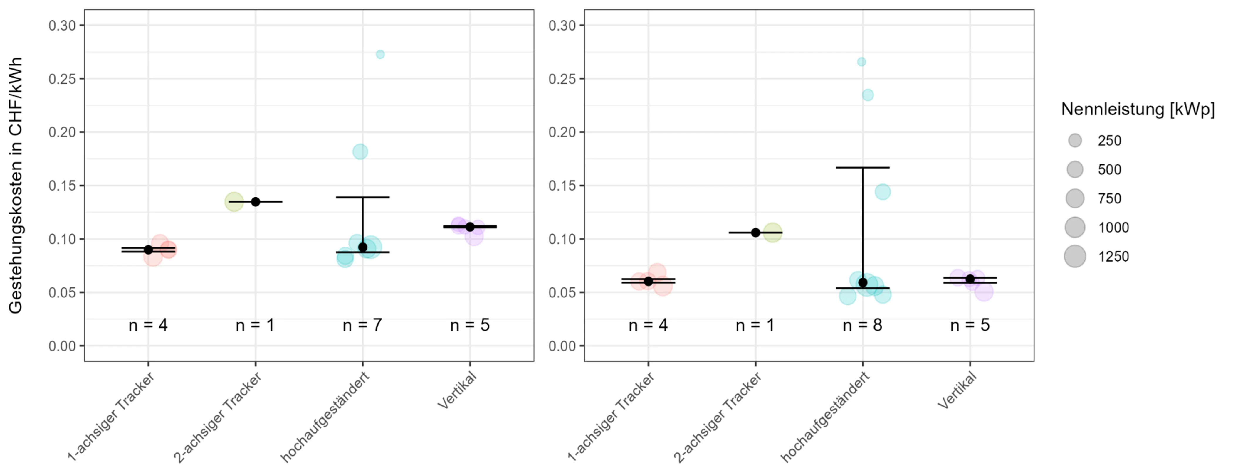
Figure 3 shows on the left the production costs, including operating and maintenance costs of 2 Rp./kWh, and capital costs (WACC 4.5%) of the areas examined for different types of systems, without taking subsidies into account. These range from a median of 8.9 to 13.5 Rp./kWh, with costs for high-mounted systems varying greatly. The right-hand side of Figure 3 shows the same production costs taking into account a high one-off payment (HEIV). In this case, the median can be reduced to 5.9 to 10.6 Rp./kWh, with the production costs of most systems ranging between 4.5 and 7 Rp./kWh.
The energy profile clearly illustrates the conflict between winter share and specific winter electricity yield: although a vertical system achieves a higher winter share, a single-axis tracker can generate more winter electricity in absolute terms on the same area, as more power can be installed on the same area. With ideal alignment in terms of annual yield, specific yields of 1,100 kWh/kWp (vertical) to 1,500 kWh/kWp (2-axis trackers) are forecast for the entire year in the Swiss Plateau (see Figure 4). This exceeds the typical yields of PV systems on roof surfaces by around 15 to 50% (Hostettler & Hekler, 2022, 2023, 2024).
We see opportunities for marketing electricity through self-consumption and local community models (LEG, vZEV) – where suitable customers exist. At the same time, LEGs and (v)ZEVs can help mitigate risks from fluctuating feed-in tariffs if producers and consumers agree on long-term prices and purchase volumes in contracts.
These preliminary studies clearly show that agri-PV works – but it requires location-specific testing. That is precisely why we offer agricultural businesses a compact feasibility study.
Projects and studies
- Feasibility study on agri-photovoltaics in Swiss agriculture (2022)
- Potential analysis for agri-photovoltaics in the canton of Schaffhausen (2023)
- Potential estimates for agri-PV in Swiss agriculture (2024)
- Pilot projects on agri-photovoltaics in the canton of Zurich (2025)
- Practical guide to agri-PV for agriculture (2025)
- Agri-photovoltaics in the canton of Thurgau: documentation, methods, and results (2026)
- Competence booster – feasibility study
Further links
- «How smart farmers are boosting harvests» by Pascal Alius in Perspective Daily (February 2026)